En los países que usan la nomenclatura mes – día – año, para el calendario; el día marzo – 14 se recuerda a la constante matemática universal p.
El matemático galés William Jones introdujo el símbolo p en 1706, seguro por la palabra griega perímetro (pερίμετρος). El concepto más sencillo que tenemos de esta constante es:
«el número de veces que el diámetro de un círculo cabe en su circunferencia.»
Posiblemente los pueblos antiguos descubrieron esta constante, relacionándola con el diámetro de la rueda de un carro y lo que se desplazaba dicho vehículo cuando la rueda da una vuelta completa.
Comprobar esto, hasta cierto grado de aproximación, no es difícil, hágalo y se convencerá. Simplemente trace en una hoja de papel (con mucho cuidado) un círculo de cierto radio, usando el método del cordel anudado para formar un lazo fijo, el lápiz y el clavito (figura abajo).
Comprobar esto, hasta cierto grado de aproximación, no es difícil, hágalo y se convencerá. Simplemente trace en una hoja de papel (con mucho cuidado) un círculo de cierto radio, usando el método del cordel anudado para formar un lazo fijo, el lápiz y el clavito (figura abajo).
Si el cordel (entero) mide 10,0 cm, entonces el círculo le va a quedar de 5,0 cm de radio (10,0 cm de diámetro).
Ahora, corte el lazo y colóquelo con paciencia y cuidado a lo largo de la circunferencia.
Encontrará que el cordel (el diámetro del círculo) cabrá en ella «3 veces y un poco más de una octava parte” (3,14 veces).
Los decimales pueden ser un cierto número de cifras, dependiendo de la precisión de su trabajo, como: 3,14159, pero para propósitos cotidianos, generalmente basta con 3,14.
☺!¿ Qué habrá pasado en marzo 14 de 1592 ?!☺
p es un número irracional y no puede ser representado exactamente como una fracción común. Sin embargo, 22/7 = 3,1428571428, puede usarse para obtener resultados aproximados satisfactorios. p es el número trascedental más conocido.
Desde sus años intermedios de escuela, usted se encontró con esta interesante constante matemática, ya que el perímetro de un círculo (la circunferencia) y su área se calculan multiplicando p por otras cantidades, una de ellas la que determina el tamaño de esa figura geométrica (el diámetro).
Seguro en el colegio se topó con esferas y conos, cuyas áreas y volúmenes también se calculan con la intervención de p.
Yo me encontré con la elipse hasta en mis años de universidad, pero puede que usted haya tenido mejor suerte. Las órbitas de los planetas alrededor del Sol son elipses, lo mismo que las de los satélites, naturales o artificiales, como la Luna y el Telescopio Espacial Hubble.
Al fin y al cabo, más de setenta años de progreso, deben haber mejorado algo las cosas. Si no ha sido así, pues, lamentablemente hemos desperdiciado el tiempo de nuestra educación básica.
No me acuerdo que en la Escuela República de Colombia, ni en el Colegio de Naranjo, le tuviésemos miedo (mucho menos fobia) a la matemática, y esto que en 1955 ni la palabra psicólogo era conocida por nosotros o nuestros padres.
Tampoco teníamos calculadora, sólo lápiz, papel y tablas usuales.
Conocí la regla de cálculo en la Universidad de Costa Rica en 1962 y la calculadora científica llegó hasta 1969 en la Universidad de Texas.
|
|
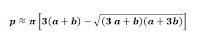
a= semi-eje mayor
b= semi-eje menor
|
Aproximación de Ramanujan para el perímetro de la elipse.
*****
Area = (pi) a b
area= p ab
|
p no solo aparece en el campo de la geometría, sino también en otros campos de la matemática, y en ciencia, especialmente en Física, pero de eso conversaremos en otra oportunidad.
- La hisoria de p , desde Pitágoras hasta Newton
https://www.youtube.com/watch?v=O5m54nrU8ho
|
Ecuación de Euler.
|
A propósito de la fecha 14 de marzo, en este año 2023 se cumplen 143 años del nacimiento de Albert Einstein.
(*) José Alberto Villalobos Morales es Asesor en Física y Astronomía.










